ملخص-درس قسمة كثيرات الحدود ،، رياضيات ثاني ثانوي ف 1 الفصل الثالث
شرح وحل أمثلة قسمة كثيرات الحدود
// قسمة كثيرات الحدود //
أمثلة قسمة كثيرات الحدود
خطوات قسمة كثيرات الحدود
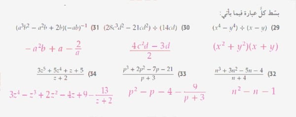
بسط كل عبارة مما يأتي ، ص 131 رياضيات ثاني ثانوي ف 1
تبسيط قسمة كثيرات الحدود
مرحباً بكم متابعينا الأعزاء طلاب وطالبات العلم في موقعنا لمحة معرفة منبع المعلومات والحلول الذي يقدم لكم أفضل الأسئله بإجابتها الصحيحه من شتى المجالات التعلمية من مقرر المناهج التعليمية والثقافية ويسعدنا أن نقدم لكم حل السؤال الذي يقول........ ملخص-درس قسمة كثيرات الحدود ،، رياضيات ثاني ثانوي ف 1 الفصل الثالث
قسمة كثيرات الحدود
القسمة التركيبية هي طريقة مبسطة لقسمة كثيرة حدود على ثنائية حد.
خطوات القيام بالقسمة التركيبية:
1-اكتب معاملات المقسوم بعد ترتيب حدوده تنازلياً بحسب درجتها, وتأكد من أن المقسوم عليه على الصورة x-r, ثم اكتب الثابت r في الصندوق, واكتب المعامل الأول أسفل الخط الافقي.
2-اضرب المعامل الاول في r, واكتب الناتج أسفل المعامل الذي يليه.
3-اجمع ناتج الضرب مع المعامل الذي فوقه.
4-كرر الخطوتين 2 و 3 على ناتج الجمع في الخطوة السابقة حتى تصل الى ناتج جمع العددين في العمود الاخير, والاعداد التي في الصف الاخير تمثل معاملات ناتج القسمة, ودرجة الحد الاول اقل بواحد من درجة المقسوم, والعدد الاخير هو الباقي.
مثال: اوجد ناتج القسمة (x2-6x-20)÷(x+2) لأبسط صورة.
العمليات على كثيرات الحدود
تعني عملية تبسيط عبارات تتضمن قوى إعادة كتابتها دون أقواس أو أسس سالبة. والأسس السالبة هي طريقة للتعبير عن النظير الضربي لعدد،
عند تبسيط وحيدات الحد تأكد أنك قد بسطتها على نحو كامل, بحيث:
1-لا تتضمن قوة.
2-يظهر كل اساس مرة واحدة.
3-تكون جميع الكسور المتضمنة في أبسط صورة.
4-لا تتضمن أسساً سالبة.
درجة كثيرة الحدود المبسطة هي أكبر درجة لوحيدات الحد المكوِّنة لها.
مثال: بسط كثيرة الحدود (2a3b-2)(-4a2b4) الى ابسط صورة.
8a5b2-
تدريبات على تبسيط العبارات كثيرة الحدود
بسط كل عبارة مما يأتي

بسط كل عبارة مما يأتي ، ص 131 رياضيات ثاني ثانوي ف 1



